打开 App
2047 论坛精华
2047 论坛精华
链接复制成功
快去分享给好友吧~
《2047》周年庆!送橙卡,新赛事,全新BGM
判官
2019/07/18
40
文艺复兴工作室新作《ATRIX》将于明天开启篝火测试!首个完美通关玩家奖励200个卡包!
判官
2020/04/21
38
重登神坛!飞马械超详细终极攻略!
赛博亚
2021/05/03
27
2047强度榜
3455
+10
开学了也要好好玩2047!数据周报+牌组推荐
判官
2019/08/30
23
5月21日平衡性改动,街头勒索削弱,9张卡牌加强
判官
2019/05/16
17
联合运动会5月11日新卡发布,祸岛新妹子!
判官
2020/05/11
41
新卡虽然会迟到,但永远不会缺席!联合运动会第三批新卡已全部公布!
判官
2020/02/28
37
【每周新卡】帝国两张紫卡
判官
2020/07/01
36
本次更新bug修复公告
语言学家
2021/02/02
20
研究实验室大型攻略(研究实验室简介和科学家搭配)
英雄酒楼
2021/06/15
87
庆祝2049年元旦,送福利+新牌组推荐
判官
2019/12/31
18
【每周新卡】蜂巢新卡两张,都能弃对手牌
判官
2020/07/15
29
《黑石狂潮》扩充包新卡发布!
判官
2019/05/29
27
我们出卡的速度就像疾风一样迅捷!联合运动会第四批新卡(18/18)!
判官
2020/03/20
31
9月25日平衡性调整公告(最新)
筑梦师
2018/09/22
19
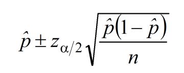
求一卡组在更多场次下的胜率95%置信度的置信区间(简化公式)
CO0l
2021/06/21
42
2047 社区同人
22914
+68
“你 看 到 我 的 星 星 了 吗”——小王子械卡组推荐
赛博亚
2021/07/02
20
2047大型DIY扩展包【百家新创】(81/120)
零壹柒LIO
2019/08/03
29
3
4
5
6
7
更多相关
王都创世录 论坛官方内容
2047 变异岛攻略
2047 社区同人
2047 智械攻略
2047 祸岛攻略
2047 死亡岛攻略
2047 幽灵岛攻略
2047最新动向
2047 资讯
2047卡组攻略
仙山小农 新手攻略
2047 论坛官方内容
2047阵容推荐
重返未来:1999 新手攻略攻略
2047强度榜
塔瑞斯世界 铭石系统攻略
2047 福利
2047 攻略
光引剧场 论坛官方内容
2047 愚者械攻略
打开
查看更多
网页版