打开 App
湮灭效应 资讯
湮灭效应 资讯
链接复制成功
快去分享给好友吧~
湮灭效应
【文末已开奖】《湮灭效应》概念PV首发,全网预约正式开启!
该用户已注销
2021/03/29
46
湮灭效应
【文末已开奖】Android共研服 | 先锋测试团「代号:先行者」招募开启!
该用户已注销
2022/04/11
51
湮灭效应
【文末已开奖】湮灭效应 X 萤火虫动漫嘉年华 广州站26th参展确认!
该用户已注销
2021/04/15
28
湮灭效应最新动向
4785
+90
湮灭效应
【文末已开奖】湮灭效应 X 2021ChinaJoy 参展情报公开!
该用户已注销
2021/07/23
32
湮灭效应
【文末已开奖】亲爱的司令官,中秋节快乐!
该用户已注销
2021/09/21
38
湮灭效应
【文末已开奖】贺图分享 | 纪念今天的冰原漫步
该用户已注销
2022/02/14
49
湮灭效应
#湮灭效应# 五月对谈纪实:开发进程分享
该用户已注销
2022/05/29
24
湮灭效应
【文末已开奖】#抽奖活动# 情报问题征集
该用户已注销
2021/03/08
20
湮灭效应
#湮灭效应# 机密档案——云雀
该用户已注销
2022/03/15
26
湮灭效应
【文末已开奖】 《湮灭效应》游戏实录PV「警戒」今日上线
该用户已注销
2021/05/20
37
湮灭效应
【文末已开奖】 湮灭效应 X 2021年萤火虫动漫嘉年华广州站26th 情报公开
该用户已注销
2021/04/25
36
湮灭效应
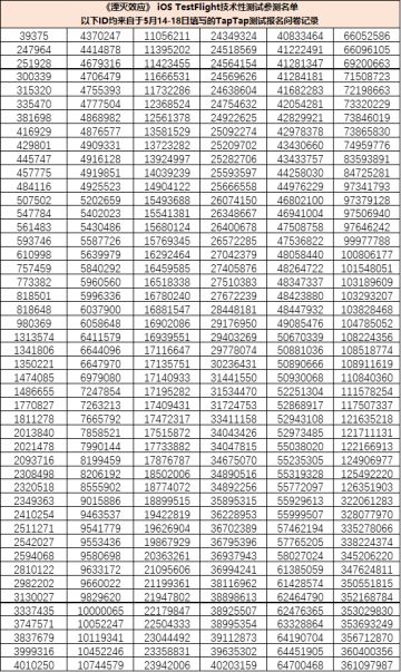
#湮灭效应# iOS TestFlight技术性测试 | 参测名单
该用户已注销
2021/05/21
14
湮灭效应
#测试招募# iOS TestFlight技术性测试「代号:冲击」招募开启!
该用户已注销
2021/05/14
20
湮灭效应
【文末已开奖】飞往2022的航班现在开始登机
该用户已注销
2021/12/31
41
湮灭效应
【文末已开奖】 亲爱的司令官,端午安康
该用户已注销
2021/06/14
39
湮灭效应
【文末已开奖】 贺图分享 | 万圣夜的奇妙料理,不来尝尝吗?
该用户已注销
2021/10/31
24
湮灭效应 社区同人
4721
+7
湮灭效应
#湮灭效应# 机密档案——虎猫
该用户已注销
2021/10/23
28
湮灭效应
#湮灭效应# 十二月对谈纪实:开发进程分享
该用户已注销
2021/12/06
27
1
2
3
更多相关
湮灭效应 社区同人
火炬之光:无限 新人攻略
湮灭效应最新动向
可口的比萨 福利
废土征服 论坛官方内容
SC 论坛官方内容
星巡守卫队 论坛精华
地下城攻略 资讯
晶核 活动攻略
四灵棋境 论坛官方内容
湮灭效应 福利
湮灭效应 论坛精华
异星幻想2 资讯
合金弹头:觉醒 合金攻略
Heroes Evolved 英魂之刃海外版 论坛官方内容
鲤 重制版最新动向
Pipeline Of Emperor Yu (CONNECT THE PIPELOVE)最新动向
荒野乱斗账号绑定工具 论坛官方内容
照明弹 资讯
湮灭效应 论坛官方内容
打开
查看更多
网页版