打开 App
无极仙途 攻略
无极仙途 攻略
链接复制成功
快去分享给好友吧~
无极仙途
开篇
雨朗在夏天
2022/03/20
12
无极仙途
山河商人(洗髓有效收益)
李道炘
2022/12/05
16
无极仙途
第一次过东极打卡!奉上属性图+小小心得
西瓜冰
2021/08/02
5
无极仙途 社区同人
5064
+23
无极仙途
《第六届攻略大赛投稿+五行土行玩法》
埪
2023/05/06
14
无极仙途
高难度朱雀山艮(已更新配置与原视频略有不同)
苢芸
2024/08/27
11
无极仙途
无极仙途悟道道书攻略
QQ用户19901990
2021/11/14
6
无极仙途
《第五届攻略大赛投稿+龙汉初劫》
西瓜吹雪
2022/06/04
16
无极仙途
玄鱼和灵兽招式减抗公式
默
2022/08/11
28
无极仙途
无极途仙
gf
2022/09/26
2
无极仙途
《新版本攻略投稿-魔神域,魔神后卿》
cc
2023/01/17
18
无极仙途
山河幻境:装备获取途径之一
麦吉丶MacGee
2022/01/19
5
无极仙途
点化资料整理
自成一派
2023/03/14
18
无极仙途
无敌的反杀配置
wuyun
2023/06/06
11
无极仙途
最新真魔塔十层特殊首领攻略(供惊蛟及散盟高战玩家参考)
江雪
2022/09/05
14
无极仙途
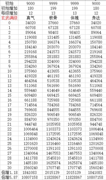
30转140级玄武+坐骑加成+全灵兽1转满级加成+乱七八糟加成最后得出 满级玄武四维增加1080W、1182W、1182W、1080W 具体公式和图片我就不细说了 下面说另外两个热门坐骑的满级满状态数值 如果你们还想知道谁的再留言 我再回复你 神鹿918W、918W、942W、942W 年兽465W、483W、465W、483W
逍遥55,110必不出仙
2023/04/21
24
无极仙途
神鹿新思路
冻人心弦
2021/11/11
9
无极仙途 后卿攻略
8309
无极仙途
修仙就修的是财侣法地!
玉象流砂
2022/12/20
4
无极仙途
发一些我EXCEL做的记录,说攻略也不算是攻略,看着玩吧
逍遥55,110必不出仙
2021/08/10
29
23
24
25
26
27
更多相关
无极仙途 灵童攻略
无极仙途 道侣攻略
无极仙途 灵池攻略
无极仙途关卡攻略
无极仙途 无极攻略
无极仙途 法宝攻略
无极仙途 飞升攻略
无极仙途 灵兽攻略
无极仙途最新动向
汉末霸业 装备攻略
无极仙途 资讯
无极仙途 论坛官方内容
无极仙途 仙玉攻略
无极仙途 论坛精华
无极仙途 新版本攻略
无极仙途 福利
无极仙途 新手攻略攻略
无极仙途 东极岛攻略
无极仙途兑换码
无极仙途 时光秘境攻略
打开
查看更多
网页版