打开 App
我要当掌门 攻略
我要当掌门 攻略
链接复制成功
快去分享给好友吧~
我要当掌门
【全新开局,平民丝滑不卡顿详解】
安大爷
2024/01/11
8
我要当掌门
进阶攻略03——派系101✨,谁是核心输出C位出道?
风流倜傥小师弟
2023/07/19
33
我要当掌门
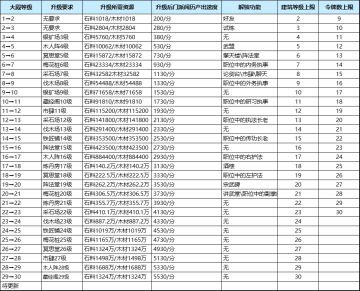
进阶攻略02——大殿升级全览👀
风流倜傥小师弟
2023/07/12
9
我要当掌门 社区同人
1588
+6
我要当掌门
【门派交涉事件大全】——江南、河朔、西域、中原篇🗺
风流倜傥小师弟
2023/08/23
4
我要当掌门
【新手指引】弟子图鉴01——资质平平篇
小小小师妹
2023/07/10
10
我要当掌门
平民中期主c详解
假装
2023/09/11
7
我要当掌门
除魔规划攻略(0氪到中低氪)
User4615447
2024/01/23
24
我要当掌门
活动讲解及技巧
阿水
2023/08/09
17
我要当掌门
浅谈一下游戏小技巧
红木
2024/01/29
14
我要当掌门
进阶攻略01——萌新开局,少走弯路不迷路👇
风流倜傥小师弟
2023/07/10
9
我要当掌门
平民玩家的逆袭之路
安大爷
2023/09/01
12
我要当掌门
版本之子【傅无悲】小氪获取攻略(保姆级攻略二)
道可道
2023/12/05
11
我要当掌门
【门派交涉事件大全】——巴蜀、大理、潇湘、秦川篇🗺
风流倜傥小师弟
2023/08/16
6
我要当掌门
谈谈平民中期的攻防选择(弟子和武功)
戦友東
2023/11/04
24
我要当掌门
【门派交涉事件大全】——辽东、关山、汴南、西羌🗺
风流倜傥小师弟
2023/09/01
6
我要当掌门
关于萌新掌门【什么时候可以换紫或橙角色?】的建议
犇跑de小猪
2023/10/15
13
我要当掌门 武学攻略
11042
+5
我要当掌门
v3中氪金玩家攻略
侠之师者
2023/09/07
13
我要当掌门
【新手指引】弟子图鉴05——天赋异禀篇
小小小师妹
2023/07/14
1
1
2
3
4
5
更多相关
我要当掌门最新动向
我要当掌门 弟子攻略
毁灭战士:黑暗时代 资讯
代号:MX(TapTap测试版)最新动向
我要当掌门 福利
星之后裔:吠陀骑士 资讯
开心动物园 资讯
龙息:神寂 腐烂墓穴攻略
零之战线最新动向
我要当掌门 黄衫女攻略
我要当掌门 论坛官方内容
我要当掌门 武学攻略
我要当掌门 社区同人
我要当掌门 客卿攻略
龙石战争 士兵攻略
我要当掌门 新手攻略
我要当掌门 论坛精华
我要当掌门 资讯
我要当掌门 掌门攻略
我要当掌门 门派攻略
打开
查看更多
网页版