打开 App
影之刃3 传说装备攻略
影之刃3 传说装备攻略
链接复制成功
快去分享给好友吧~
影之刃3
新传说装备入门级养成攻略➕乘区稀释试算
剑长歌
2024/07/10
278
影之刃3
以铁公主为例谈女王套和散件传说装备的伤害对比
熊白大
2021/02/20
13
影之刃3
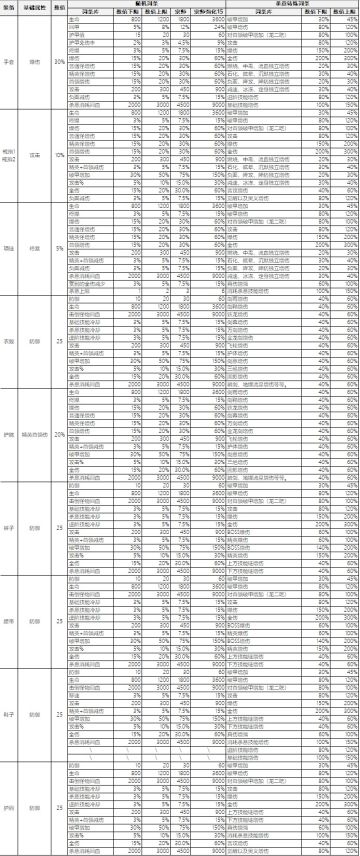
2-21传说装备制作所需材料明细图
梗鬼
2021/02/21
40
影之刃3 论坛官方内容
22702
+995
影之刃3
关于工匠的秘密对决传说装备选择
哔站景天景兄弟
2021/02/01
40
影之刃3
萌新攻略之炽刃传说装备
白糖
2023/10/14
1
影之刃3 论坛精华
610770
+339
更多相关
影之刃3最新动向
影之刃3 链子攻略
影之刃3 沐小葵攻略
影之刃3 论坛官方内容
影之刃3 攻略
影之刃3 绝影攻略
影之刃3 心法攻略
影之刃3 轻羽攻略
影之刃3 资讯
影之刃3 无锋攻略
影之刃3兑换码
影之刃3 副本攻略
影之刃3 弦者攻略
影之刃3 福利
影之刃3 抽卡攻略
影之刃3 团本攻略
影之刃3装备攻略
影之刃3 技能链攻略
影之刃3 论坛精华
影之刃3 左殇攻略
打开
查看更多
网页版