打开 App
小小五千年 攻略
小小五千年 攻略
链接复制成功
快去分享给好友吧~
小小五千年
68级通关
Eric
2021/09/02
5
小小五千年
【王XX】蔡琰战法护盾详解
王XX
2022/01/26
9
小小五千年
奶队一穿六,低损
北风奏
2021/08/15
小小五千年关卡攻略
60862
+7
小小五千年
!!!【关于怒气系统的新发现+自己打脸自己】甘宁改动测试的后续报告!
我还要玩
2022/05/12
12
小小五千年
【更新后六国状态测评】作用没太大变化,有没有可能部分回档?
泰拉平民甲
2023/07/25
1
小小五千年
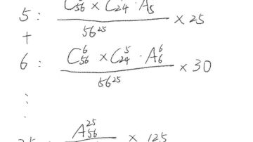
机制测试:战斗属性计算公式(3)
孙十万
2022/06/13
18
小小五千年
战斗机制综合测试(施工中)
超级牛排
2022/12/11
8
小小五千年
【数值策划请进】六国的随机恐慌,数学期望根本无法匹配自身需要
泰拉平民甲
2023/06/30
6
小小五千年
机制测试:战斗属性计算公式(5)
孙十万
2022/06/20
26
小小五千年
简评南蛮与牌子将
安平孟文若
2022/07/10
3
小小五千年
精英关卡思路
疯狂的小猴子
2021/08/25
3
小小五千年
新手阵容推荐
oao
2021/07/25
2
小小五千年
【这茬过不去系列】详细计算【甘宁】战法削弱前后技能数差值
我还要玩
2022/05/10
5
小小五千年
分瞬,还有很多活动可以出,过来看看
夏龙华
2024/03/23
6
小小五千年
在下 政厅召见的武将问答的答案,只能靠统计,但是没法上传表格,在此我就发一部分总结答案。注:40-50%有24分,40-50%有12分,10%给4分(有些武将是没有24分答案的) 问答题:大概率的24分答案 枭雄者,周武 秦始皇统六国:褒 再起兵之地:荆州 诸子百家:法 敌军顽抗:暗拍细作 始皇出巡:选皇示威仪 战国长平之战:赵括误国 君王治政:徐徐图之 集市商贸:投资 宦官当道:祸水东引 狭路相
极限乐园
2023/02/18
21
小小五千年
前排和扛伤的几个武将大概印象。
千树千载
2021/08/08
小小五千年最新动向
5559
+1113
小小五千年
机制测试:战斗属性计算公式(1)
孙十万
2022/06/10
20
小小五千年
资源整合持续发展细节
株草可斩星辰
2021/08/10
10
11
12
13
14
更多相关
小小五千年 匈奴攻略
小小五千年强度榜
小小五千年关卡攻略
小小五千年最新动向
小小五千年 武将攻略
小小五千年 论坛官方内容
Q卡三国最新动向
硬核机甲启示 论坛官方内容
小小五千年 装备攻略
小小五千年阵容推荐
不一样传说2 爬塔攻略
小小五千年 论坛精华
小小五千年 春秋攻略
全职高手:重返巅峰最新动向
小小五千年 福利
小小五千年 资讯
我的勇者 新水忍攻略
小小五千年 新手攻略攻略
小小五千年技能加点
圣境之塔 资讯
打开
查看更多
网页版